Cervical Cancer with The Active And Stable PI3K/MTOR/AKT Pathway In Azerbaijan Patients
Abstract
Among the reproductive cancers cervical cancer has special place, because the second most frequent cause of cancer-related death among women worldwide. The studies suggested that the PI3K/mTOR/AKT signaling pathway is associated with certain reproductive tumors. A lot of research is ongoing for understanding this pathway evidence of its role in promoting tumorigenesis and recent progress in the development of therapeutic agents that targeted PI3K/AKT. In this a single-arm study included 34 Azerbaijan population woman with HPV-negative cervical tumors. The core genes of PAM signaling pathway were analyzed using RT-PCR method. Our preliminary results suggested that tumorgenesis of HPV-negative cervical cancer patients approximately 25% associated with dysregulation of PAM signaling pathway reason which are core genes alteration. The overall survival times in the PAM-active and PAM-stable patients were not significantly varies. However, the main factor for overall survival times were treatment strategy: both PAM-active and PAM-stable patients who received radiation therapy alone had a shorter overall survival than patients who received radiation plus chemotherapy. The patients with alteration of ATK1 and mTOR genes in PAM signaling pathway had poor prognosis then patients with PIK3CA and PTEN mutation
Author Contributions
Copyright © 2024 Konul S. Mardanova, et al
This is an open-access article distributed under the terms of the Creative Commons Attribution License, which permits unrestricted use, distribution, and reproduction in any medium, provided the original author and source are credited.
Competing interests
The authors have declared that no competing interests exist.
Citation:
Introduction
A number of studies suggested that the PI3K/mTOR/AKT signaling pathway (PAM) is associated with certain gynecological tumors 1, 2, 3, 4, 5, 6, 7, 8, 9, 10, 11, and the rational design of therapeutics strategy for the PI3K/AKT signaling pathway is an important option for the treatment of this kind tumors. Among the reproductive cancers cervical cancer has special place, because the second most frequent cause of cancer-related death among women worldwide 4 and persistent HPV infection is the main etiologic agent for this location 9, 10. Nevertheless, PAM activation is play a special role the formation of cervical tumor 7, 9, 17, 18, 19, 20. A lot of research is ongoing for understanding this pathway evidence of its role in promoting tumorigenesis and recent progress in the development of therapeutic agents that targeted PI3K/AKT 1, 8, 12, 13, 14, 15. It is generally accepted that essential genes of the PAM signal transduction pathway is AKT1, PIK3CA, mTOR, PTEN. The mutagenic alteration of the essential genes and their influence to activation of PAM-signaling pathway has been studies by numerous authors 16, 17, 18, 19. Carcinogenesis is a dynamic, complex phenomenon representing the interplay between genetic and environmental factors that results in divergent phenotypes across ethnicities and geography 20, 21, 22. Azerbaijan's geography covers a diverse collection of landscapes, from wetlands to high mountains, deserts to fertile valleys. The air and water pollution are widespread and pose great challenges to the health. Major sources of pollution include oil refineries and chemical and metallurgical industries. It is first research study that investigate PAM pathway’s core genes activation in HPV-negative cervical cancer patients in Azerbaijan population.
Aimed of the research is to detect predictive and prognostics biomarkers in PAM signaling pathway that could be increase affectivity of treatment, and quality of live in woman with HPV-negative cervical tumor.
The study has several limitations due to the small number of patients and limited genes number. But this study was baseline for ongoing to more detail research with HPV-positive and HPV-negative cervical cancer patients
Material and methods
Patients. This is a single-arm study including 34 cervix cancers woman who applied to the National Center Oncology, Baku, Azerbaijan between 2017-2018 years and were diagnosed, treated and observed in this hospital. Observation was conducted during 5-6 years in these selected patients and results of treatment were analyses retrospectively. Ethics committee for biomedical and health research approve this single-arm research without patients consent papers, as it was part of total institutional research. All patients were diagnosis and treated as recommend NCCN protocols (NCCN guidelines, 2017). Only HPV-negative tumors were included to study. The age, stage, grade and others clinic-pathology parameters not taken into account, because of limited number of patients. Among the patients have resectable and unresectable cervical cancer patients.
Material. The biopsy or surgery tumor material was fixed in FFPE and stored in appropriate temperature and humidity condition. The main demand to material selection was absence of HPV viruses. The morphologically 93% tumor materials consisted of squamous cell carcinoma. In the other tumors were detected adenocarcinoma cell.
Treatments. The treatment was conducted as recommended by the NCCN guidelines respectively to clinical/pathological conditions of cervical cancer patients.
Molecular-genetics methods. DNA and RNA were isolated from FFPE fixed tumor tissues by protocol of Qiagen Company, respectively (QIAamp DNA/RNA FFPE tissue kit, Germany). cDNA synthesis reaction conducted using a cDNA synthesis kit (Thermo Fisher Scientific). Beta-2-microglobulin was as a reference gene for normalizing the expression level of the target genes. The gene expression level was calculated using the formulae 2-
Ct34. PIK3CA genotyping was conducted using PIK3CA-genotyping kit from EntroGene Company (USA). Expression primers sequences were obtain from PrimerBank (PrimerBank, Harvard Medical School) and synthesis in DNA Integration Technology (DIT) Company, Turkey. The analysis conducted in Bio Rad, CFX96 Real-Time System (USA). Oligonucleotide sequences for target genes were AKT1gene primers: AGCGACGTGGCTATTGTGAAG-Forward, GCCATCATTCTTGAGGAGGAAGT-Reverse primer: PTEN gene primers: TGGATTCGACTTAGACTTGACCT-F, GGTGGGTTATGGTCTTCAAAAGG-R: mTOR gene primers: ATGCTTGGAACCGGACCTG-F, TCTTGACTCATCTCTCGGAGTT-R
Novel gene panel. The gene panel was involved 4 genes: PIK3CA, PTEN, mTOR and AKT1. For PTEN, mTOR and AKT1 genes were analysis only genes expression level 5, 12, 13, 14, 17, 18, as it is enough for activation PAM signaling pathway. For PIK3CA gene was analysis clinically significant mutations (E542K, E545D, E545G, E545K, H1047L, and H1047R) in helical and functional domains that located in exons 9 and 20 23, 24, 25, 26, 27.
Statistical information. The date analysis was make in the IBM SPSS Software, Version 2.0. P-value was not calculated in this study due to the small number of patients. It will be calculate on the next stage of this study.
Results and discussed
“PAM core genes” panel that consist PIK3CA, PTEN, mTOR and AKT1 genes was used in the study. Accumulated evidences indicate that major effectors gene in the PAM signal pathway exactly they are 1, 2, 3, 4, 7, 11, 16, 17, 22, 29, 28. “PAM core genes” panel is enough for conduct the molecular-genetic screening in the cervical tumor materials and can be get preliminary information about PAM pathway tumor biology. It is cheaper and accessible to the oncology clinics. We have confirmed the effectiveness of this panel in our study.
In14 of 34 enrolled tumors PAM signaling pathway were active. It means that one or more than one of the genes in this importance pathway had alteration. For convenience, in the study we used PAM-active and PAM-stable terminology. Thus, PAM- active signaling pathways were 41.1% in analyzed tumors. Table 1 demonstrates the genes name and number of mutated in cervical tumor materials.
Table 1. Total information about core genes alteration of cervix cancer patients| Total enrolled patients N=34 (100%) | |||
| PAM-active tumors N=14 (41,1 %) | |||
| PIK3CA | PTEN | mTOR | AKT1 |
| n=8 | n=6 | n=2 | n=4 |
PIK3CA gene amplification and mutation are frequent in gastric carcinoma (36.4%), thyroid adenocarcinoma (30%), prostatic cancer (28%), ovarian cancer (13.3–29.8%), and cervical carcinoma (9.0–80%) 23. The enrolled 34 cervical tumor materials were found 8 (23.52%) PIK3CA mutation. All eight mutations of PIK3CA gene were detected in the helical domain of the PIK3CA gene. Authors found 8, 25, 32 that a tumor associated mutation site in the helical domain of the p110α catalytic subunit of PI3K, which may lead to constitutive PI3K activation and enhance tumorigenicity. They suggested that PIK3CAE542K and PIK3CAE545K mutations promoted the glycolysis by the increased expression of key glycolytic enzymes. In addition, the expression levels of other glycolytic enzymes increased to varying degrees in SiHa and MS751 cells with PIK3CA E542K and PIK3CAE545K mutations. Taken together, PIK3CAE542K and PIK3CAE545K mutations enhance glucose metabolism and proliferation in cervical cancer cells.
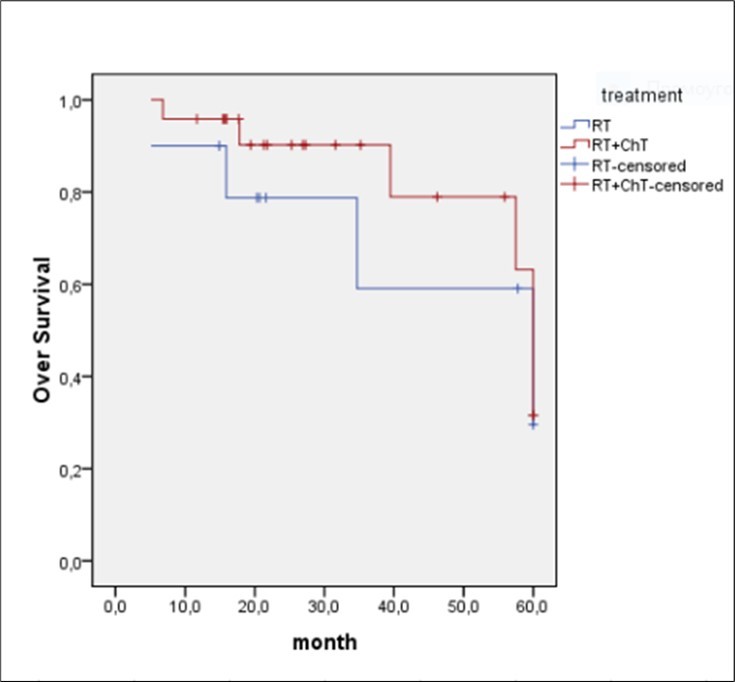
In our study, two patients had both PIK3CAE542K and PIK3CAE545K mutations in kinase domain. Five of the kinase domain mutations were PIK3CAE545K, two PIK3CAE545Q (together with PIK3CAE545K) and two PIK3CAE542K. Authors presented 6 that the most common PIK3CA mutation in cervical cancer is PIK3CAE545K. Surukhy S. and co-authors shown that PIK3CA gene mutations tend to be mutually exclusive of mutations in other driver genes 24. The studies have reported 7, 26, 27 that PIK3CAactivating mutations are associated with long-term survival postradiotherapy. In the study we received same result: PIK3CA mutation carries patients receiving chemotherapy (ChT)+ radiotherapy (RT) had long-time over survivals (Table 4 and Figure 1). Activation of the carcinogenic effects of PIK3CA mutations have been widely accepted as evidence for preclinical diagnosis 12. However, the PIK3CA mutation is not effective as a biomarker in obese patients with cervical cancer, which may be due to obesity associated factors affecting the transduction of relevant molecules in the PI3K signaling pathway 28.
Figure 1.Results of OS in PAM-active and PAM-stable patients. Red and blue lines are ChT+RT and RT treatments respectively. The small and perpendicular lines are indicated patients with mutations
Dysfunction of components of PAM pathway such as hyperactivity of PI3K, loss of function of PTEN, and gainoffunction of AKT, are notorious drivers of treatment resistance and disease progression in cancer and the major mechanisms of resistance to PAM signaling targeted therapies, including PAM signaling in immunology and immunotherapies are discussed by authors in review 8. Notably, PIK3CA mutation and PTEN loss coexist in prostate cancer patients and synergistically can cooperate in vivo to accelerate carcinogenesis and cancer progression via PAM pathway hyperactivation 32. In the preliminary research study 11 authors found that in breast cancer a molecular analysis of mutations and expression of genes within the PI3K/Akt/mTOR pathway in patients with ductal breast cancer of various malignancy levels. They recognized significant correlations between the expression levels of the studied genes. It was observed that the prevalence of mutations in the studied PIK3CA and AKT1 genes was 29.63%. It was stated that the average expression level of the PIK3CA, PIK3R1, PTEN genes in the group of breast cancer patients is lower in comparison to the control group, while the average expression level of the AKT1 and mTOR genes in the studied group was higher in comparison to the control group. It was also indicated that in the group of patients with mutations in the area of the PIK3CA and AKT1 genes, the PIK3CA gene expression level is statistically significantly lower than in the group without mutations.
In this study we found mono and multi-genes mutations in cervical cancer patients. Mono-gene mutation were detected in four patients, in ten patients were observed multi-gene mutations in PAM signaling pathway. Table 2 demonstrate number of patients with mono and multi genes mutations. PIK3CA and PTEN genes in two tumors were mono-mutation; the eight patients had two mutation: in which PIK3CA gene mutation in four situations were accompany with PTEN, in four positions in AKT1 gene mutations. In tow positions were mutated all core genes in PAM signaling pathway. mTOR gene mutated in the tow patients combination with others genes alterations.
PIK3CA gene’s kinase domain mutations more extensively phosphorylate AKT gene and are independent of RAS gene activity 22. Our laboratory registered six PIK3CA gene mutations together AKT1 gene over expression (Table 2). Patients with this combined mutations (PIK3A+ ATK1) had approximate 2-year relapse-free survival (7.0-24.0 months). The tumor suppressor gene PTEN expressed in six patients: alone and in combination with other genes.
Table 2. Mono and multi-gene mutations in PAM-active signaling pathway| Mono gene mutation patients | Multi-genes mutations patients | |||
| n=4 | n=10 | |||
| PIK3CA | PTEN | PIK3CA, PTEN | PIK3CA, AKT1 | PIK3CA, PTEN, ATK1, mTOR |
| 2 | 2 | 4 | 4 | 2 |
Authors demonstrate that PTEN gene’s destabilization is induced by EGFR gene or oncogenic PI3K mutation-mediated AKT gene activation in cervical cancer 31. In cervical cancer patients with high levels of AKT and MKRN1 proteins expression, PTEN protein levels are low and correlate with a low 5-year survival rate. The results demonstrate that PI3K/AKT signals enforce positive-feedback regulation by suppressing PTEN gene function 31. Our data indicate that patients with PTEN expression had wide rate overall survival from 6.0 to 52.0 months. The patient with a single PTEN gene mutation is alive and under observation. This patient received chemo radiotherapy. We tried to establish groups for PAM-stable and PAM-active patient’s using overall survival data. The comparative analysis of the overall survival among PAM-active and PAM-stable signaling of cervical cancer patients demonstrate interesting clinical data that notes in Table 3
Table 3. Overall survival (OS) of PAM-active and PAM-stable pathway in cervical cancer patients (2017-2022)| Years | 2017 | 2018 | 2019 | 2020 | 2021-2022 |
| OS (months) | 1.0 - 7.0 | 7.0-16.0 | 16.0-24.0 | 24.0-36.0 | 36.0- 60.0 |
| PAM-stablepatients | 0 | 7 | 3 | 1 | 9 |
| PAM-activepatients | 2 | 5 | 3 | 1 | 3 |
| Total patients | 2 | 12 | 6 | 2 | 12 |
As shown Table 3 short overall survival have two cervical cancer patients which PAM-active signaling pathway. In these patients, all analyzed genes had either epigenetic alteration or genetic mutations. The one of the patents lived approximately four, other is seven months after the tumor detection. The patients were considered as inoperable; one patient had two PIK3CA gene mutations (E545K, E545Q) in helical domain. Twelve patients presently alive and under observation (data from middle of 2023). Among these patients, three had mutations in tumor material: two patients had mono mutation in PIK3CA gene, one PIK3CA+PTEN mutation. Thus, patients with PIK3CA and PTEN mutations have significantly more overall survivals by comparison with patients with ATK1 and mTOP genes dysregulation.
This study has several limitations due to the small patients and genes number. Nevertheless, even with a limited number of genes and patients, we observed interesting facts in patient treatment outcomes. The outcome of radiotherapy (RT) or radio-chemotherapy (RT+ChT) treatments in PAM-stable and PAM-active patients were overall survivals (OS) data. Relapse-free survival (RFS) is not considered in this paper. We demonstrated 3-years and 5-years OS with PAM-active and PAM-stable patients (Table 4) without detail discussion.
Table 4. Average 3-and 5-years over survivals in PAM-active and PAM-normal signaling pathway in cervical cancer patients| 3-years over survivaln=22 | 5-years survivaln=12 | ||
| 0.1-36.0 months | 36.0-60.0 months and more | ||
| With mutationsn | Without mutationsn | With mutationsn | Without mutationsn |
| 11 | 11 | 4 | 8 |
Three years overall survival had same number of patients (n=11) with active and stable-PAMs. Five and more years overall survival had twelve patients: 4 patients had mutations, 8 patients without mutation. The patients with PIK3CA and PTEN genes mutation have long overall survival, then patients with ATK1 and mTOR genes mutations.
Further, we compared treatments outcome of PAM-active and PAM-stable patients receiving only radiotherapy (RT) or chemotherapy+ radiotherapy (Chm+RT). Figure1demonstrate OS in PAM-active and PAM-stable patients: in red line shown patients receiving ChT+RT, blue line patients received only RT treatment.
Our preliminary results suggest that tumor genesis in HPV-negative cervical cancer patients approximately 25% associated with dysregulation of PAM signaling pathway reason which are major effector genes alteration. Despite this founding among the PAM-active and PAM-stable patients overall survival did not significantly varies. But strategy of the treatment of the cervical cancer patients are significantly different: both PAM-active and PAM-stable cervical cancer patients receiving only radiotherapy had short overall survival then patients receiving radiotherapy plus chemotherapy. We found that HPV-negative cervical cancer patients with alteration of ATK1 and mTOR genes had poor prognosis then patients with PIK3CA and PTEN mutation.
So, numerous molecules in the cell environments can influence in the PAM signaling pathway dysfunction. For example, recently (37) in cervical cancer patients tissues were observed PIK3CA (35.7%), ARID1A (25.5%), NOTCH1 (19.4%), FGFR3 (16.3%), FBXW7 (19.4%),TP53 (13.3%), EP300 (12.2%), and FGFR4 (10.2%) genes mutations. The prevalence of mutations in FGFR family genes was almost as high (24.5%) as that in PIK3CA and ARID1A, both of which are well-studied drivers of UCC and such kind of research 12, 18. Thus, the signal pathways in the cancer cells have to study with the complex of considering many proses in the cells. This is a complex and expensive work and it must be done cooperation with others laboratory. But now, when we developed scheme to analyze PAM pathway core genes in HPV-negative patients, in soon future we will conduct study with HPV-positive cervical cancer patients, using same scheme for research.
References
- 1.Barra F, Evangelisti G, Ferro Desideri L, S Di Domenico, Ferraioli D et al. (2019) De Cian F and Ferrero S: Investigational PI3K/AKT/mTOR inhibitors in development for endometrial cancer. , Journal of Expert Opinion on Investigational Drugs 28, 131142.
- 2.Lu R, Yang Z, Xu G, Yu S. (2018) miR 338 modulates proliferation and autophagy by PI3K/AKT/mTOR signaling pathway in cervical cancer. https://doi.org/10.1002/adma.202300531 , Journal of Biomed Pharmacother.105: 633644.
- 3.Zhang X, Zhou Y, Gu Y E.Tanshinone IIA induces apoptosis of ovarian cancer cells in vitro and in vivo through attenuation of PI3K/AKT/JNK signaling pathways. , Oncology Letters 17, 18961902-10.
- 4.Torre L A, Bray F, Siegel R L, Ferlay J, Lortet-Tieulent J et al. (2012) Global cancer statistics. , CA Cancer Journal for Clinicians 2015, 87-108.
- 5.Elisavet P. (2014) Ruth O.The PI3K/AKT/mTOR pathway in breast cancer: targets, trials and biomarkers.Therapeutic Advance in Medical Oncology. 6(4), 154-166.
- 6.Shi Xiang, Wang Jingjing, lei Yu. (2019) Research progress on the PI3K/AKT signaling pathway in gynecological cancer. DOI : 10.3892/mmr.2019.10121 , (Review), Molecular Medicine Report 19, 4529-4535.
- 7.Ocana A, VeraBadillo F, AlMubarak M, Templeton A J, CorralesSanchez V et al. (2014) Pandiella A and Amir E: Activation of the PI3K/mTOR /AKT pathway and survival in solid tumors: Systematic review and metaanalysis. PLoS One 9: e95219. https://doi.org/10.1371/journal.pone.0095219
- 8.Antonino G, Foo Aaron S C, Hiu Y Lam. (2023) PI3K/AKT/mTOR signaling transduction pathway and targeted therapies in cancer. , Journal of Molecular Cancer 22, 138-10.
- 9.Cochicho Daniela. (2022) . PIK3CA Gene Mutations in HNSCC: Systematic Review and Correlations with HPV Status and Patient Survival. Cancers 14(5), 1286-10.
- 10.Okunade K.Human Papillomavirus and Cervical Cancer. , Journal of Obstetrics Gynecology 40(5), 602-608.
- 11.Przemysław K, Marcin N, Paweł A. (2021) The Correlation of Mutations and. Expressions of Genes within the PI3K/Akt/mTOR Pathway in Breast Cancer- A Preliminary Study, International Journal of Molecular Sci 22-2061.
- 12.Wen-Ting Y, Ch Mei, Xu Rui.Peng-ShengZh.PRDM4 inhibits cell proliferation and tumorigenesis by inactivating the PI3K/AKT signaling pathway through targeting of PTEN in cervical carcinoma. , J Oncogene 40(18), 3318-3330.
- 13.Jason R, L R Kari, M W Khalida. (2018) Gene Expression Analysis Identifies Novel Targets for Cervical Cancer Therapy. J Front immunology. 9, 2102-10.
- 14.S M Prabhjot, Jasgit S.AKT in cancer: new molecular insights and advances in drug development. 2016-10.
- 15.Yeqin Y, Huizhi L. (2023) PI3K–AKT-Targeting Breast Cancer Treatments: Natural Products and Synthetic Compounds. Biomolecules. 13-93.
- 16.Martell K, John.B.PIK3CA mutation and CNV status and post-chemoradiotherapy survival in patients with cervical cancer. , Journal of Gynecology Oncology 158(3), 776-784.
- 17.Ningni J, QijieD. (2020) XiaoruiSu.,Role of PI3K/AKT pathway in cancer: the framework of malignant behavior. J Molecular biology reports. 47(6), 4587-4629.
- 18.Larisa V, I P Alexander, Nadezhda O.Cervical Carcinoma: Oncobiology and. , Biomarkers.Int J Mol Sci.Nov; 22(22), 12571-10.
- 19.Pergialiotis V, Nikolaou C, al Haidopoulos D et. (2020) PIK3CA Mutations and Their Impact on Survival Outcomes of Patients with Cervical Cancer: A Systematic Review Acta Cytologica. 64-547.
- 20.Tan Daniel S W, Mok Tony S K. (2015) Timothy Rebbeck, Cancer Genomics: Diversity and Disparity Across Ethnicity and GeographyNovember. , Journal of Clinical Oncology 34(1), 10-1200.
- 21.Jagannath Dev Sharma. (2021) Cancer: scenario and relationship of different geographical areas of the globe with special reference to North East-India. , South Asian J Cancer 10(04), 220-224.
- 22. (2019) . Association of PIK3CAand MDM2 SNP309 with Cervical Squamous Cell Carcinoma in a Philippine Population.Asian Pac J Cancer Prev.; 20(7), 2103-2107.
- 23.Shi J, Yao D, Liu W, Wang N, H L et al.Highly frequent PIK3CA amplification is associated with poor prognosis in gastric cancer. , BMC Cancer 2012, 50-10.
- 24.. (2023).Genetic Heterogeneity and Tissue-specific Patterns of Tumors with Multiple PIK3CA Mutations.Clin Cancer Res.Mar 29(6), 1125-1136.
- 25.Jiang Wei, He Tiancong, Liu Shuai. (2018) Yingying Zhenget.al. The PIK3CA E542K and E545K mutations promote glycolysis and proliferation via induction of the β-catenin/SIRT3 signaling pathway in cervical cancer.Journal of Hematology. , Oncology volume, 139-10.
- 26.Bader A G, Kang S, Vogt P K. (2006) Cancerspecific mutations in PIK3CA are oncogenic in vivo. Proc Natl Acad Sci USA 103: 14751479 DOI: 10.1371/journal.pone.0095219 .
- 27.Zhao J J, Liu Z, Wang L, Shin E. (2005) Loda MF and Roberts TM: The oncogenic properties of mutant p110alpha and p110beta phosphatidylinositol3kinases in human mammary epithelial cells. Proc Natl Acad Sci USA 102: 1844318448 DOI: 10.1073/pnas.0508988102 .
- 28.Grigsby P, Elhammali A, Ruiz F, Markovina S, McLellan M D et al. (2017) Pfeifer JD,et al: Clinical outcomes and differential effects of PI3K pathway mutation in obese versus nonobese patients with cervical cancer. , Oncotarget 9, 40614073.
- 29.Cristina C. (2021) Cristina A-A.,Esther C., the Importance of Being PI3K in the RAS Signaling Network.Genes. , (Basel) 12(7), 1094-10.
- 30.Oscar Peralta-Zaragoza. (2016) Relevance of miR-21 in regulation of tumor suppressor gene PTEN in human cervical cancer cells.BMC. , Cancer.; 16, 215-10.
- 31.Lee S, Jeong H, Lee W.PI3K/AKT activation induces PTEN ubiquitination and destabilization accelerating tumourigenesis. , Nature Communication 2015, 7769.
- 32.Pearson H B, Li J, Meniel V S, Fennell C M, Waring P et al. (2018) Identification of Pik3ca Mutation as a Genetic Driver of Prostate Cancer That Cooperates with Pten Loss to Accelerate Progression and Castration-Resistant Growth. Cancer Discovery. 8(6), 764-79.
