Journal of Antioxidant Activity

Journal of Antioxidant Activity

Journal of Antioxidant Activity

Current Issue Volume No: 2 Issue No: 1

Research Article Open Access Available online freely Peer Reviewed Citation

Comparative Analysis of Atherosclerosis Risk Factors in the Staff of the Tbilisi (Georgia) Cleaning Service

Article Type: Research Article

1Davit Aghmashenebeli University of Georgia, Tbilisi, Georgia

2N. Kipshidze Central University Clinic, Tbilisi, Georgia

3Tbilisi State Medical University, Tbilisi, Georgia

4Bakhutashvili Institute of Medical Biotechnology of Tbilisi State Medical University

5Beritashvili Center of experimental Biomedicine

6Georgian National University SEU

Abstract

Objective

Search of pathogenetic mechanisms and risk factors of atherosclerosis in the employees of the cleaning service in Tbilisi.

Materials and Methods

As a result of a preliminary survey and examination of 200 employes of Tbilisi cleaning service aged 25-45 years (2014-2016), 22 patients with angina, hypercholesterolemia, intimae-media thickness > 0.65 mm, were selected into I group, and 23 individuals without these disorders into II group. In the blood plasma of the selected patients the intensity of oxidative metabolism parameters, TAA and MDA were determined. The variance and correlation analysis (АNOVA) was used for conducting the comparative analysis of the levels of studied parameters.

Results

In the combined group (I+II) there are several reliable correlations between the Age -TCol, Age-MDA, BMI-Tg, BMI-MDA, LDLChol-HDLChol, LDLChol–TChol, HDLChol-TChol, LDLChol-MDA, LDLChol-TAA. no correlation between these parameters in individual groups (I and II) was found. That indicates that we have an imaginary correlation related to the large intergroup difference between the average values of the group indicators, that is the values of various indicators change during the development of the pathological process, but there is no causal relationship between these alterations.

The reliable TAA-MDA correlation in the combined group (I+II) is related to the high anticorrelation between these parameters and the significantly higher average value of TAA in the low-risk group (II) in comparison to the high-risk group (I).

Conclusion

The results analysis indicates both the diagnostic value of redox status indicators and their leading role in the atherogenesis processes. In populations with a high risk of atherosclerosis, monitoring of serum TAA is recommended.

Author Contributions
Received 25 Feb 2020; Accepted 10 Mar 2020; Published 11 Mar 2020;

Academic Editor: Jie Yin, Institute of Subtropical Agriculture and University of Chinese Academy of Sciences, china

Checked for plagiarism: Yes

Review by: Single-blind

Copyright ©  2020 Murman Kantaria, et al.

License
Creative Commons License     This is an open-access article distributed under the terms of the Creative Commons Attribution License, which permits unrestricted use, distribution, and reproduction in any medium, provided the original author and source are credited.

Competing interests

The authors have declared that no competing interests exist.

Citation:

Murman Kantaria, Pavle Machavariani, Giorgi Ormotsadze, Ketevan Kakabadze, Irakli Chkhikvishvili et al. (2020) Comparative Analysis of Atherosclerosis Risk Factors in the Staff of the Tbilisi (Georgia) Cleaning Service . Journal of Antioxidant Activity - 2(1):1-10. https://doi.org/10.14302/issn.2471-2140.jaa-20-3236

Download as RIS, BibTeX, Text (Include abstract )

DOI 10.14302/issn.2471-2140.jaa-20-3236

Introduction

Atherosclerosis, as a major cause of myocardial infarction, stroke, and thrombosis, is a significant contributor to early disability and high mortality, and is, therefore, one of the most important medical and social problems. Atherosclerosis is characterized by the formation of plaques contributing to an increase in the thickness of the coronary artery wall resulting in reduced blood flow. Plaque rupture and the consequent thrombosis may lead to sudden blockage of arteries and causing stroke and heart attack. The recent tendency to increase and rejuvenate the disease makes this problem even more relevant.

Given the urgency of the problem, the search for new risk factors for atherosclerosis and the emergence of yet unknown pathogenetic mechanisms is naturally one of the major issues of modern medicine 1, 2.

Our investigation aimed to determine the main risk factors for atherosclerosis and its main pathogenetic mechanisms in the employees of the cleaning service in Tbilisi (Georgia).

Material and Methods

As a result of a preliminary survey and examination of 200 employees of Tbilisi, Cleaning service aged 25-45 years, conducted by an initiative group of medical workers of the N. Kipshidze University Clinic (2014-2016) within the framework of the State program of Universal Insurance of the population (physical examination, filling out the questionnaire, parameters of lipid metabolism (total cholesterol (TChol), high-density lipoprotein cholesterol (HDL-Chol), low-density lipoprotein cholesterol (LDL-Chol), triglycerides) (Tg)), Fibrinogen (Fn), C reactive protein (CRP) content in blood, intimate media thickness), 45 people were selected. 22 patients with angina, hypercholesterolemia, intimae-media thickness > 0.65 mm, were grouped into I group (high risk of atherosclerosis), and 23 individuals without angina had normal cholesterol levels in blood and intimae-media layer thickness <0.55 mm – into II group (low risk of atherosclerosis). The study protocol was approved by the Ethical Committee of the David Aghmashenebeli University of Georgia.

The intima-media thickness was measured by ultrasound with LOGIQ 7 (N. Kipshidze University Clinic).

The TChol, HDL-Chol, and Tg levels were measured by the enzymatic method on a fully automated chemistry analyzer (Roche diagnostics) (Laboratory of Tbilisi Republican hospital named after acad. N. Kipshidze). LDL-Chol level was calculated by the Friedewald equation 3.

Plasma Fn level was measured by a fully automated coagulation analyzer (Diagnostica STAGO), plasma CPR level was tested by immunoassay (ELISA) with a fully automated chemistry analyzer (Roche diagnostic GmbH) (Laboratory of N. Kipshidze University Clinic).

Electrocardiography (ECG) registration was performed at rest condition with the device ECG300G (three-channel electrocardiograph CONTEC) (Laboratory of N. Kipshidze University Clinic).

In the blood of the patients from the selected groups, the intensity of oxidative metabolism was determined by total antioxidant activity (TAA) of the blood serum and the Malondialdehyde (MDA) content.

TAA was determined in deproteinized blood serum by using the 2.2-diphenyl-1-picrylhidrazyl (DPPH)-scavenging assay, which was adapted from the study conducted by Chrzczanowicz et al. 4 (Laboratory of Bakhutashvili Institute of Medical Biotechnology of Tbilisi State Medical University).

To obtain serum, blood samples (3 ml) were placed in the tubes and incubated for 30 minutes at 37° C and then centrifuged for 10 minutes (1500 g, 4°C).

Serum samples (2 ml) were deproteinized by incubation with 2 ml of acetonitrile for 2 min at room temperature (20°C), and further centrifugation at 9500 g for 10 min (at 4°C,). A supernatant was immediately collected, and 1 mlwas transferred to a tube. Subsequently, and the resultant absorbance was read at 515 nm

The supernatant (1 ml) of deproteinized serum was collected, dried and dissolved in 0.5 ml of methanol, the DPPH (3 ml) was added. The absorption of the test samples was measured by the spectrophotometer at 515 nm. The percent of neutralization in the samples was calculated on gallic acid; the absorbance values were interpolated by using the calibration curve built for gallic acid. The total antioxidant activity (TAA) of the blood serum samples was determined by the time (t, in seconds) required for neutralization of 50% radical; the less time is necessary for the neutralization of the DPPH-radicals, the higher is the antioxidant activity of the blood serum. For evaluating of TAA of blood serum samples, we use the parameter K inverse to the time indicator (t), (K = 1/t [sec-1]) so that large numbers of K correspond to high values of TAA).

MDA in blood plasma was determined by Thiobarbituric acid (TBA) assay 5 Laboratory of Bakhutashvili Institute of Medical Biotechnology of Tbilisi State Medical University).

The variance and correlation analysis (АNOVA) was used for conducting the comparative analysis of the levels of studied parameters. The analysis and visualization of data were conducted by using "SPSS-12" for Windows. Statistically significant correlation coefficients with linear magnitudes linear correlations coefficients Pearson (r), the statistical significance of results with p-magnitude evaluations

Results

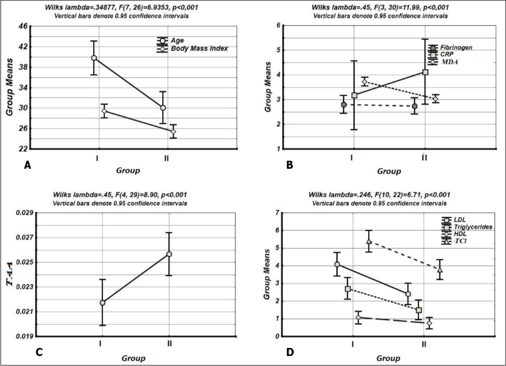
Results of patients' investigation are shown in Table 1, Table 2 and Figure 1. Analysis of the obtained data revealed that in group I (patients with a high risk of atherosclerosis), compared to group II (patients with low risk of atherosclerosis), statistically reliably prevailed:

Table 1. Mean values of various physiological and lifestyle components in patients of Groups I and II
N Parameters I Group % n II Group % N P
1 Age 25-34 27.3 6 82.6 19 <0.02
35-45 72.7 16 17.4 4 <0.02
2 Myocardial Infarct 9.1 2 - 0  
3 Stroke 4.6 1 - 0  
4 Family history 22.7 5 4.4 1  
5 Smoking Never 4.5 1 - 0  
10 27.3 6 21.7 5  
>20 36.4 8 39.1 9  
>40 22.7 5 17.4 4  
6 BMI 25 18.2 4 56.5 13  
>25 50 11 39.1 9  
>30 31.8 7 4.3 1  
7 Meat Consumption Animal fat 54.5 12 47.8 11  
Plant oil 45.5 10 52.2 12  
Meat 81.8 18 78.3 18  
Fish 18.2 4 21.7 5  
Carbohydrates 81.8 18 78.3 18  
Vegetable/fruits 18.2 4 21.7 5  
8 Nervous stress 77.3 17 60.9 14  
No 22.7 5 39.1 9  
9 Arterial Pressure (mm Hg) Normal (<140/90) 18.2 4 52.2 12 <0.02
High (>140/90) 81.8 18 47.8 11  
10 LDLChol (mmol/l) Normal (<3.0) 36.4 8 78.3 18 <0.02
High (>3.0) 63,6 14 21,7 5 <0,02
11 Tg (mmol/l) Normal (<2,0) 63,6 14 78.3 18  
High (>2.0) 36.4 8 21.7 5  
12 HDLChol (mmol/l) Normal (>1.0) 9.1 2 13.0 3  
Low (<1.0) 90.9 20 87.0 20  
13 Fn (gr/l) Normal (<2.9) 68.2 15 69.6 16  
High (>2.9) 31.8 7 30.,4 7  
14 CRP (mkg/ml) Normal (<3.0) 50 11 39,1 9  
High (>3.0) 50 11 60.9 14  
15 MDA (µmol/l) Normal (<2.9 µmol/l) 9 2 47.8 11 <0.01
High (>2.9 µmol/l) 90.9 20 52.2 12 <0.01
16 TAA(sec-1) Normal (0.022<TAA<0.025) 40.1 9 34.8 8  
Low (TAA<0.022) 45.6 10 21.7 5 0.01
High (TAA>0.025) 13.3 3 43.5 10 <0.01

Table 2. Statistical significance of intergroup differences between values (Fisher F-test)
Dependent Variable Test Whole Model
F P
Age 17.66 >0.001
BMI 18.14236 >0.001
LDLChol 14.19975 >0.001
Tg 9.02388 >0.001
HDLChol 0,83863 0.36
Fn 0.21152 0.65
CRP 0.08291 0.77
MDA 33.08732 >0.001
TChol 15.75541 >0.001
TAA 9.23448 0.005

Ages patients (35-45 years) – 72.7% vs. 17.4%, p<0.02;

Persons with obesity (body mass index (BMI) > 30) – 31.8% vs. 4.3%, p< 0.02;

Persons with arterial hypertension (> 140/90 mm Hg) – 81.8% vs. 47.8%, p< 0.02;

High level of LDL-Chol in blood (> 3,0 mMol / l) – 6..6% vs. 21.7%, p> 0/02;

High level of MDA ((>2,9 µMol / l) – 90.9% vs. 52.2%; p> 0.01;

Low TAA (TAA<0,022 sec-1) – 45,6% vs. 21,7%, p< 0,01.

Individuals in the group I had significantly higher lipid peroxidation parameters (MDA content), and low level of TAA in the blood compared to group II (Figure 1 C, Table 2), which indicates the intensification of oxidative stress.

Thus, the factors that predominated in the I group of the investigated population (age, obesity, arterial hypertension, and high LDLChol) play an important role in the formation of atherosclerosis (Figure 1A, B, D, Table 2).

Figure 1.Intergroup differences (Group I, Group II) between values of age, Body mass index (A), Fibrinogen, CPR and MDA content in the blood (B), blood TAA (C) and lipid metabolism parameters (LDLChol, Tg, HDLChol, TChol content) (D) using ANOVA
 Intergroup differences (Group I, Group II) between values of age, Body mass index (A),             Fibrinogen, CPR and MDA content in the blood (B), blood TAA (C) and lipid metabolism parameters (LDLChol, Tg, HDLChol, TChol content) (D) using ANOVA

Oxidative stress also participates in the pathogenesis of atherosclerotic cardiovascular disease. In the general population, increased concentrations of lipid peroxidation products are associated with coronary artery calcification and increase of the carotid intima-media thickness, non-invasive measures of atherosclerosis, which predict of the long term cardiovascular outcomes 6, 7, and also presence and severity of coronary artery disease 8. Oxidative stress occurs when there is an imbalance between reactive oxygen species relative to antioxidants 9, 10. In our investigations, the intensity of oxidative stress in investigated patients was determined by the MDA content and TAA status of blood plasma and the correlation between the values of these parameters. As it reveals from Table 3, the TAA level is also in correlation with TCol and HDLChol content (Table 3).

Table 3. Correlations (r) and their statistical significance between the studied values in the combined group (I+II) of patients (*- statistically significant correlations p<0,05)
  Means Std.Dev. Age BMI LDLChol Tg HDLChol TChol Fn CRP MDA TAA
Age 34,52 8,13 1,00 0,27 0,51* 0,32 0,26 0,56* 0,32 -0,06 0,42* -0,18
BMI 27,27 3,35 0,27 1,00 0,33 0,38* 0,05 0,23 0,02 -0,19 0,43* -0,13
LDLChol 3,18 1,51 0,51* 0,33 1,00 0,27 0,41* 0,71* 0,08 -0,31 0,47* -0,44*
Tgl 2,06 1,29 0,32 0,38* 0,27 1,00 0,13 0,14 0,09 0,02 0,39* -0,11
HDLChol 0,85 0,31 0,26 -0,07 0,15 -0,07 1,00 0,40* 0,10 0,19 0,10 -0,09
Fn 2,79 0,69 0,32 0,02 0,08 0,09 -0,07 0,02 1,00 -0,02 -0,17 0,15
CRP 3,45 2,10 -0,06 -0,01 -0,32 0,06 0,19 -0,20 0,53 1,00 -0,14 0,11
MDA 3,36 0,50 0,42* 0,43* 0,47* 0,39* 0,22 0,51* -0,17 -0,30 1,00 -0,75*
TChol 4,52 1,40 0,56* 0,23 0,71* 0,14 0,40* 1,00 0,02 -0,20 0,51* -0,40*
TAA 0,02 0,00 -0,18 -0,13 -0,44* -0,11 -0,19 -0,4* 0,15 0,22 -0,75* 1,00

* - statistically significant correlations

Correlation analysis of investigated parameters in observed patients of the combined group (I +II) indicate a negative correlation between blood plasma TAA and MDA content (r = -0.75), LDLChol (r = -0.44) and TChol (r = -0.40) content; MDA content in blood plasma correlates with patient age (r = 0.42), obesity (BMI) (r = 0.43), and parameters of lipid metabolism (LDLChol: r = 0.47, Tg: r = 0.39); TChol content in the patients' blood plasma increased with increasing age (r = 0.56), that is followed by elevation of LDLChol (r = 0.71) and HDLChol (r = 0.40) content and intensification of oxidative stress (for MDA: r = 0.51, for TAA: r = -0,4); elevation of Tg content in blood plasma correlated with BMI (r = 0.38) and MDA (r = 0.39). LDLChol content correlates wirh patients age and blood palsma oxidative stress parameters (TAA, MDA).

At the same time analysis of investigated parameters of patients from I and II groups (Table 4, Table 5) did not detect these correlations. In the Group I of patients with high risk of atherosclerosis (group I - angina, hypercholesterolemia and intimae-media thickness > 0.65 mm), only correlation of blood CPR and LDLChol elevated levels with patient aging (r = 0,6696, r = 0,582584) were revealed, whereas in patients without angina normal cholesterol level in blood and intimae-media layer thickness <0.55 mm (Group II), apart from correlation between blood TAA and MDA content (r= -0,6593) was revealed correlation between lipid metabolism parameters (TChol and LDLChol) (r = 0,72013) and correlation between marker of inflammation (Fn) and oxidative stress parameters (TAA, MDA) (r = 0,5141, r =0,5176).

Table 4. Correlations and their statistical significance between the studied values in patients of Group I (*- statistically significant correlations p<0,05)
  Means Std.Dev Age BMI LDLChol Tg HDLChol Fn CRP MDA TChol TAA
Age 39,800 5,4798 1,0000 -0,0911 0,584584* 0,135850 0,17510 0,29635 0,6696* 0,183852 0,412271 -0,3049
BMI 29,467 3,0907 -0,091 1,0000 -0,098097 0,183024 -0,1019 0,01045 -0,0335 -0,14693 -0,46261 0,17742
LDLChol 4,089 1,4820 0,5846* -0,0981 1,000000 0,030930 0,41698 0,32359 -0,4676 -0,01789 0,443866 -0,1461
Tg 2,725 1,5490 0,1359 0,1830 0,030930 1,000000 0,04411 -0,0059 0,12601 0,15177 -0,29461 0,15367
HDLChol 0,870 0,3531 0,1751 -0,1519 0,433476 -0,16656 1,00000 -0,0021 0,45992 0,19448 0,419743 -0,1057
Fn 2,855 0,6133 0,2964 0,01045 0,323585 -0,00592 -0,2336 1,0000 -0,4786 -0,06360 0,153854 -0,3208
CRP 3,212 1,7199 0,00336 -0,0335 -0,467556 0,126006 0,45993 -0,4786 1,00000 -0,14102 -0,21027 0,32235
MDA 3,747 0,35023 0,1839 -0,1469 -0,017899 0,151768 0,19398 -0,0636 -0,14102 1,00000 0,375023 -0,45
TChol 5,401 1,1418 0,41223 -0,4626 0,443866 -0,29461 0,39380 0,15385 -0,21027 0,37502 1,000000 -0,4437
TAA 0,022 0,0034 -0,3049 0,17742 -0,146125 0,153674 -0,1771 -0,3208 0,322351 -0,45 -0,44372 1,00000

* - statistically significant correlations

 

Table 5. Correlations and their statistical significance between the studied values of patients in Group II (*- statistically significant correlations p<0,05)
  Means Std.Dev. Age BMI LDLChol Tg HDLChol Fn CRP MDA TChol TAA
Age 30,1111 7,38750 1,0000 -0,2113 0,02287 -0,0510 0,27102 0,35899 0,26903 -0,15047 0,266078 0,39189
BMI 25,4444 2,33193 -0,2113 1,00000 0,10281 0,02756 -0,2934 -0,08237 -0,17892 0,12770 0,10780 0,29759
LDL Chol 2,4144 1,06599 0,02287 0,10281 1,00000 -0,0821 0,17523 -0,20956 -0,20429 0,27045 0,72013* -0,3272
Tg 1,5133 0,67082 -0,0510 0,02758 -0,08214 1,00000 -0,1423 0,17619 0,18359 -0,05889 -0,06151 0,20173
HDLChol 0,73899 0,23639 0,27102 -0,3800 -0,00505 -0,18523 1,00000 0,261370 -0,04763 -0,33535 0,204694 0,09268
Fn 2,7428 0,75713 0,35899 -0,0824 -0,20956 0,17619 0,18798 1,00000 0,14902 -0,5176* -0,14665 0,5141*
CRP 3,42933 2,42523 0,26903 0,06806 -0,28679 0,08272 0,04763 0,312157 1,00000 -0,17570 -0,22048 -0,0141
MDA 3,0389 0,35337 -0,1505 0,12770 0,27045 -0,0589 -0,2549 -0,5176* -0,33246 1,00000 -0,00953 -0,66*
TChol 3,7917 1,17389 0,26608 0,10780 0,72013* -0,0615 0,40520 -0,14665 -0,11236 -0,00953 1,00000 0,01292
TAA 0,0257 0,00396 0,39186 0,29759 -0,32718 0,20173 0,07880 0,5141* 0,11784 -0,6593* 0,01292 1,0000

* - statistically significant correlations

 Discussion

Acknowledged risk factors of atherosclerosis include hypercholesterolemia, hypertension, smoking, gender, diabetes mellitus, and family history, obesity and lack of exercise, an imbalanced lipid metabolism, consumed food (animal fat, plant oil, carbohydrates, vegetables/fruits), impairments in immune response entailing a chronic inflammation of the arterial wall 11, 12, 13, 14, 15, 16, 17, 18. In the last decade, several biological compounds that cause abnormal coagulation and reduce fibrinolysis, remodeling of the cardiovascular system, inflammation, cell adhesion, and infection, have been identified as new risk factors for the development of atherosclerosis 19, 20, 21, 22, 23, 24, 25. Numerous studies were aimed at identifying causal relationships between these risk factors and assessing the leading among them 25, 26, 27, 28.

In our research, we attempted to determine the main risk factors for atherosclerosis and its main pathogenetic mechanisms in the employees of the cleaning service in Tbilisi (Georgia).

If in the combined group (I+II) there are several of reliable correlations between the age -TChol, age-MDA, BMI-Tg, BMI-MDA, LDL-Chol - HDL-Chol, LDLChol – TChol, HDLChol - TChol, LDLChol - MDA, LDLChol - TAA; no correlation between these parameters in individual groups (I and II) was found. That with a high probability (if the cohort power is sufficient) indicates that we have an imaginary correlation related to the large intergroup difference between the average values of the indicators of each group. That is, in the pathological process changes the values of the parameters, but there is no causal relationship between them.

In the combined (I+II) group, LDLChol is highly correlated with TCol, but this is entirely due to the high correlation of LDLChol - TChol in the low-risk group, and the inter-group differences in mean values of these parameters.

A similar circumstance is found in the relation of the correlation between Fn and redox status parameters (TAA, MDA) - in the combined group (I+II) Fn and redox status parameters does not show a correlation, while in the case of intra-group analysis, there is a reliable correlation in the low-risk group II, which is perfectly understandable from the position of the compensatory response of the redox system during inflammation. Therefore, this means that in the pathological process, the values of various indicators change, but there is no causal relationship between these alterations. From these positions, most of the correlations observed in the combined group (I+II) may be just an imaginary correlation associated with shifts in the values of pathogenetically independent indicators.

The situation is different concerning the TAA-MDA correlation: in the combined group (I+II), although there is a reliable TAA-MDA correlation, this is only because the average TAA is significantly higher in the low-risk group (II) than in the high-risk group ( I), and high anticorrelation between the values of the TAA and MDA parameters in the low-risk group (II). The above analysis indicates both the leading role of redox status in the development of pathological processes and the diagnostic value of redox status indicators.

Conclusion

Results of the correlation analysis between the studied parameters of patients show that age, obesity, arterial hypertension, and high LDLChol level reveal as independent risk-factors of atherosclerosis; the nervous stress, obesity excess consumption of the carbohydrates, smoking and low HDLChol level play the additional pathogenic role. The results analysis indicates both the diagnostic value of redox status indicators and their leading role in the atherogenesis processes. In populations with a high risk of atherosclerosis, monitoring of serum TAA is recommended.

Abbreviation

TChol – total cholesterol

LDLChol – low-density lipoprotein cholesterol

HDLChol – high-density lipoprotein cholesterol

Tg – triglycerides

Fn – fibrinogen; CPR - C reactive protein

ECG – Electrocardiography

TAA - total antioxidant activity

MDA – Malondialdehyde

TBA - Thiobarbitoric acid

ANOVA - Analysis of variance

BMI -  body mass index

References

  1. 1.Herrington W, Lacey B, SherlikerP ArmitageJ, LewingtonS. (2016) . Epidemiology of Atherosclerosis and the Potential to Reduce the Global Burden of Atherothrombotic Disease Circ Res.118 4, 535-46.
  1. 2.Kinoshita M, Yokote K, Arai H, Iida M, Yi Ishigaki.. (2018)Japan Atherosclerosis Society (JAS) Guidelines for Prevention of Atherosclerotic Cardiovascular Diseases2017.J Atheroscler Thromb. Sep 25(9), 846-984.
  1. 3.Friedewald W T, Levy R I, Fredrickson D S. (1972) Estimation of the concentration of low-density lipoprotein cholesterol in plasma, without use of the preparative ultracentrifuge. , Clin Chem 18(6), 499-502.
  1. 4.ChrzczanowiczJ GawronA, ZwolinskaA de Graft-Johnson J, KrajewskiW. (2008) Simple method for determining human serum 2,2-diphenyl-1-picryl-hydrazyl (DPPH) radical scavenging activity - possible application in clinical studies on dietary antioxidants. , Clinical Chemistry and Laboratory Medicine 46, 342-349.
  1. 5.Khalil A KhoubnasabjafariM.AbolghasemJ.(2015) Reliability of malondialdehyde as a biomarker of oxidative stress in psychological disorders.Bioimpacts. 5(3), 123-127.
  1. 6.Yu X, Lewis L. (2005) Plasma F2-isoprostanes and coronary artery calcification: the CARDIA Study. Clin Chem. 51(1), 125-31.
  1. 7.Basarici I, Altekin R E, Demir I, Yilmaz H. (2007) Associations of isoprostanes-related oxidative stress with surrogate subclinical indices and angiographic measures of atherosclerosis. , Coron Artery Dis 18(8), 615-20.
  1. 8.Schwedhelm E, Bartling A, Lenzen H, Tsikas D, Maas R. (2004) Urinary 8-isoprostaglandin F2alpha as a risk marker in patients with coronary heart disease: a matched casecontrol study. , Circulation 109(7), 843-8.
  1. 9.Montuschi P, Barnes P, Roberts L J. (2007) Insights into oxidative stress: the isoprostanes. , Curr Med Chem.; 14(6), 703-17.
  1. 10.Gamkrelidze M, MamamtavrishviliN BejitashviliN, SanikidzeT. (2008) Role of Oxidative Stress in Pathogenesis of Atherosclerosis. , Georgian Med News; 163, 54-7.
  1. 11.Hopkins P N, Williams R R. (1981) A survey of 246 suggested coronary risk factors. , Atherosclerosis; 40, 1-52.
  1. 12.Frishman W H. (1998) Biologic markers as predictors of cardiovascular disease. , Am J Med; 104(6), 18-27.
  1. 13.Thom T, Haase N, Rosamond W. (2006) American Heart Association Statistics Committee and Stroke Statistics Subcommittee. Heart disease and stroke statistics–2006 update: a report from the American Heart Association Statistics Committee and Stroke Statistics Subcommittee. , Circulation; 113, 85-151.
  1. 14.DeMarco V G, Aroor A R, Sowers J R. (2014) The pathophysiology of hypertension in patients with obesity. , Nat. Rev. Endocrinol.; 10(6), 364-376.
  1. 15. (2016) European Guidelines on cardiovascular disease prevention in clinical practice). 37, 2315–2381,JOINT ESC GUIDELINES , European Heart Journal
  1. 16.Guidelines ESCEAS. (2019) for the management of dyslipidaemias: lipid modification to reduce cardiovascular risk. 00, 178 ESC/EAS GUIDELINES , European Heart Journal
  1. 17.Bin Li.Li Weihong, Li Xiaoli, Zhou Hong. (2017)Inflammation: A Novel Therapeutic Target/Direction in Atherosclerosis. Curr Pharm Des.;. 23(8), 1216-1227.
  1. 18.Kyaw T, Peter K, Yi Li, Tipping P, Ban‐Hock Toh.Bobik A. (2017)Cytotoxic lymphocytes and atherosclerosis: significance, mechanisms and therapeutic challenges. , Br J Pharmacol.; 174(22), 3956-3972.
  1. 19.Choy P C, Mymin D, Zhu Q, Dakshinamurti K, Karmin O. (2000) Atherosclerosis risk factors: The possible role of homocysteine. , Molecular and Cellular Biochemistry; 207, 143-148.
  1. 20.Rafieian-KopaeiM SetorkiM, DoudiM BaradaranA, NasriH. (2014) Atherosclerosis: Process, Indicators, Risk Factors and. , New Hopes Int J Prev Med.; 5(8), 927-946.
  1. 21.Gupta DK GoriM, Claggett B, Selvin E, Folsom A R. (2016) . Natriuretic Peptide and High-SensitivityTroponinforCardiovascular RiskPredictioninDiabetes:The Atherosclerosis Risk in Communities (ARIC). StudyDiabetes Care; 39(5), 677-685.
  1. 22.Mamamtavrishvili N, Sanikidze T, Pavliashvili N, Kvirkvelia A, Narsia E. (2008) aspects of metabolicremodelingofmyocardduring chronic heart failure. Georgian medical news;. 154, 33-36.
  1. 23.Goishvili N, Kakauridze N, Sanikidze T. (2005) role of oxidative metabolism disturbance in the development of NO-related endothelial dysfunction during chronichearthfailure. Georgian medical news;. 122, 65-68.
  1. 24.Ratiani L, Khorava M, Dgebuadze M, Zhvania N, Sanikidze T. (2012) role ofestrogensin pathogenesis of age-related arterial hypertension.Georgian medical news;. 7, 71-76.
  1. 25.Buleishvili M, Lobjanidze N, Ormotsadze G, Enukidze M, Machavariani M et al. (2016) mechanisms of hypertension in menopausal women. , Georgian Med News; 255, 45-51.
  1. 26.Ratiani L, Parkosadze G, Koptonashvili L, Ormotsadze G, Sulaqvelidze M et al. (2011) ofatherogeneticbiomarkers andestradiolchanges inpostmenopause. , Georgian Med News; 195(6), 100-105.
  1. 27.Nowicki G J, Ślusarska B, Prystupa A, Polak M, Czubaj-Kowal M et al.(2019)Oxidative/Antioxidative Status in Patients after Myocardial Infarction and in Those without Cardiovascular Event Depending on Anthropometric Factors Defining Body Weight.Int. , J Environ Res Public Health.; 23, 16-21.
  1. 28.De Quadrosa AS, Marcadenti A.. (2019)Correlations between Traditional andNontraditionalIndicators of Adiposity, Inflammation, and Monocyte Subtypes in Patients with Stable Coronary Artery Disease.J Obes.; 3, 3139278.

Cited by (2)

This article has been cited by 2 scholarly works according to:

OpenAlex 1 citations Crossref 1 citations Semantic Scholar 1 citations